неділя, 13 березня 2022 р.

Сума п перших членів геометричної прогресії.

 Добрий день, друзі. Гадаю, що ви вже трішки заскучили за школою, за уроками. Тож почнемо навчання. Повірте, знання - це теж зброя. Ваша зброя у боротьбі українського народу з рашистським агресором! Слава Україні! Героям слава!

Тема нашого уроку "Сума перших членів геометричної прогресії".

Але перш ніж розпочати, гляньте ось на що:

https://halinadudar-teacher.blogspot.com/2021/08/blog-post.html




Утворюється геометрична прогресія із знаменником 2.

Уявляєте, скільки нас кожного роду українців назбирається? Ми - сила!

Ну, переконала? а тепер, власне, про геометричну прогресію.

Нагадаю, що геометричною прогресією називається така числова послідовність. у якій кожний член, починаючи з другого, дорівнює попередньому, помноженому на одне і те ж стале число, відмінне від 0.

Для того, щоб задати геометричну прогресію, достатньо знати її перший член і знаменник, який дорівнює частці від ділення наступного члена на попередній.

Властивості геометричної прогресії:

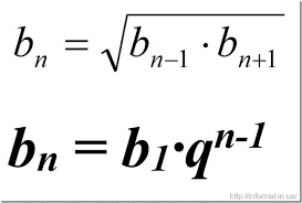
1) у г.п., всі члени якої додатні, будь-який її член дорівнює середньому геометричному сусідніх з ним членів:



2) добуток членів, рівновіддалених від кінців геометричної прогресії,є величиною сталою( остання рівність), тобто:


Формула для суми перших п членів геометричної прогресії:



Якщо у геометричній прогресії знаменник є дробовим ( додатним чи від'ємним), тобто | q| менший за 1, то така прогресія є нескінченною. Тоді сума її нескінченної кількості членів наближатиметься до якогось числа. Суму нескінченної геометричної прогресії знаходять за формулою на світлині.

Приклад 1.

 


Приклад 2




Приклад 3




Приклад 4. Нескінченна геометрична прогресія


Приклад 5. Застосування формули суми нескінченної геометричної прогресії для перетворення нескінченних періодичних десяткових дробів у звичайні



Охочі можуть переглянути відео-урок за посиланням :https://www.youtube.com/watch?v=OA1GeAVRbkc

Опрацюйте за підручником Н.С. Прокопенко параграф 20/

Розв'яжіть вправи:

5.Подайте у вигляді нескоротного звичайного дробу числа:0,(7);  2,(5);, 1,(14).

6*. Сума першого і другого членів г.п.дорівнює 36, а сума третього і четвертого дорівнює 144. Відомо, знаменник г.п. додатний. Сума п членів дорівнює 378. Скільки членів містить ця прогресія?

Бажаю успіху! І всім нам перемоги!


Немає коментарів:

Дописати коментар